As an exercise, try finding both roots of
using both
bisection and Newton's method; among your initial guesses,
try
. Then try
by both methods; try different initial guesses, including
and
,
. Does Newton's method
converge as you expect it to?
How can one prevent the potentially catastrophic
run-away of the approximates in Newton's method?
The rapid convergence of Newton's method can be appreciated
by looking at how rapidly
approaches zero. For example,
in solving
we have the following output:
EBP on einstein> newt
Need an initial guess at the root
-0.9
To what tolerance ?
0.0000001
At iteration 1
x= -0.90000000000000 f(x) = 0.65700000000000
At iteration 2
x= 2.5578947368421 f(x) = 3.0207248870098
At iteration 3
x= 2.0129154847778 f(x) = 0.70574745863718
At iteration 4
x= 1.7816615328970 f(x) = 1.0352511682707D-01
At iteration 5
x= 1.7340488444577 f(x) = 4.0029910455239D-03
At iteration 6
x= 1.7320542555928 f(x) = 6.8960683805575D-06
The root is x= 1.7320508075792 with f(x) = 2.0592194616142D-11
EBP on einstein>
The first two iterations are not too good -- f is
nearer to 1 than to 0. But then at iteration 4,
;
at iteration 5,
; at iteration 6,
;
at the last iteration,
. Thus, on successive
iterations,
,
a doubling (approximately) with each iteration.
The values of the x-iterates show the same doubling.
Taking
as the ``correct'' answer, we see
that, beginning with iteration 4, the successive x's have
1, then 2, then 5 correct digits to the right of the decimal point.
This doubling is referred to as quadratic convergence.
What is a soul to do if
is not easily evaluated?
There are two related options available to you. Both options
estimate the derivative of f somehow. The first option
is called the secant algorithm. Instead of starting with one
initial guess,
, start with two,
and
(not
unlike the bisection and false position algorithms).
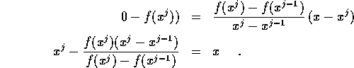
Now draw the line between these
points (the secant line), and determine the x-intercept of this
line. This x-intercept is the new approximate root
(say
). Repeat the process using
and
to find
, and so on.
The formula for the secant algorithm is

You should be able to modify your Newton's method code into a secant algorithm code without too much work. NOTE: This secant algorithm is very much like false positions. However, in the former, one always uses the most recent updates; in the latter, one always keeps the root bracketed. There are pros and cons to each method.