Two points are important here. First, type and function declarations now read real*8, which is one way of declaring double precision arithmetic; the other way is double precision. Furthermore, system-defined functions like sin, cos, abs absolute value are declared by double precision names, like dsin, dcos, dabs. The second point is the declaration of real numbers as, for example, 2.0d0. The ``d0'' fills out all remaining bits with zero. If you do not use the ``d0'', then it is possible for the latter bits to be contaminated with non-zero entries, and pollute subsequent calculations.
One other new structure is the common block.
In the code, the value of
is shared among the main program and the
function subroutines. This avoids the need to redefine
in each
subroutine.
Some sample output from the code deriv.f follows:
EBP on einstein> deriv
At what point do you wish to evaluate the derivative?
0.0
KK x approx f' exact f' difference
-1 0. 5.8778525229247 6.2831853071796 0.40533278425486
-2 0. 6.2790519529313 6.2831853071796 4.1333542482498D-03
-3 0. 6.2831439655590 6.2831853071796 4.1341620636182D-05
-4 0. 6.2831848937626 6.2831853071796 4.1341701439990D-07
-5 0. 6.2831853030454 6.2831853071796 4.1341703393982D-09
-6 0. 6.2831853071382 6.2831853071796 4.1342040901782D-11
-7 0. 6.2831853071792 6.2831853071796 4.1300296516056D-13
-8 0. 6.2831853071796 6.2831853071796 4.4408920985006D-15
-9 0. 6.2831853071796 6.2831853071796 0.
-10 0. 6.2831853071796 6.2831853071796 0.
-11 0. 6.2831853071796 6.2831853071796 8.8817841970013D-16
-12 0. 6.2831853071796 6.2831853071796 0.
-13 0. 6.2831853071796 6.2831853071796 0.
-14 0. 6.2831853071796 6.2831853071796 -8.8817841970013D-16
-15 0. 6.2831853071796 6.2831853071796 0.
-16 0. 6.2831853071796 6.2831853071796 0.
EBP on einstein>
We see that somewhere around
, the derivative is
as good as it ever gets. In this example, the later approximations
remain accurate. However consider
EBP on einstein> deriv
At what point do you wish to evaluate the derivative?
1.5707963
KK x approx f' exact f' difference
-1 1.5707963 -4.4840499506386 -5.6717398582852 -1.1876899076466
-2 1.5707963 -5.5830986537200 -5.6717398582852 -8.8641204565163D-02
-3 1.5707963 -5.6632087651781 -5.6717398582852 -8.5310931070302D-03
-4 1.5707963 -5.6708901048642 -5.6717398582852 -8.4975342099103D-04
-5 1.5707963 -5.6716549164687 -5.6717398582852 -8.4941816420603D-05
-6 1.5707963 -5.6717313633106 -5.6717398582852 -8.4949745220442D-06
-7 1.5707963 -5.6717389957020 -5.6717398582852 -8.6258318354737D-07
-8 1.5707963 -5.6717396846292 -5.6717398582852 -1.7365600424313D-07
-9 1.5707963 -5.6717395528022 -5.6717398582852 -3.0548295892885D-07
-10 1.5707960 -5.6717409405809 -5.6717398582852 1.0822957072776D-06
-11 1.5707960 -5.6717070787814 -5.6717398582852 -3.2779503742475D-05
-12 1.5707960 -5.6710701598579 -5.6717398582852 -6.6969842725761D-04
-13 1.5707960 -5.6650000000000 -5.6717398582852 -6.7398582851617D-03
-14 1.5707960 -5.6166666666667 -5.6717398582852 -5.5073191618495D-02
-15 1.5707960 -5.8000000000000 -5.6717398582852 0.12826014171484
-16 1.5707960 NaN -5.6717398582852 NaN
Note: the following IEEE floating-point arithmetic exceptions
occurred and were never cleared; see ieee_flags(3M):
Inexact; Invalid Operand;
Note: IEEE NaNs were written to ASCII strings or output files; see econvert(3).
Sun's implementation of IEEE arithmetic is discussed in
the Numerical Computation Guide.
EBP on einstein>
In this second example, evaluating the derivative near
, the numerical approximation actually got
worse after the x-values were closer than about
!
The reason for this degrading performance can be understood if you
know a little about Taylor series. Recall that one can write

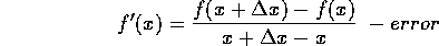
Solving this for
, we find

where the error term
.
There is a second source of error, not explicitly written, due to
inaccuracies in evaluating f. The best approximate derivitive,
then, is when this sum of errors is minimized.
In the calculations above, the optimum accuracy in approximating
in double precision is about
;
this is (about) the square root of the smallest number the machine can
resolve (the machine epsilon). For most numerical
derivatives, a typical
to use is
, where
is the machine epsilon
(for the given precision).
One can get better accuracy in the derivative approximation by using a so-called centered difference:

We leave it to you to make the necessary modifications in the code to implement a centered difference formula.
Having taken this diversionary path into numerical differentiation,
you are now in a position to incorporate a numerical approximation
of
into your Newton's method code.